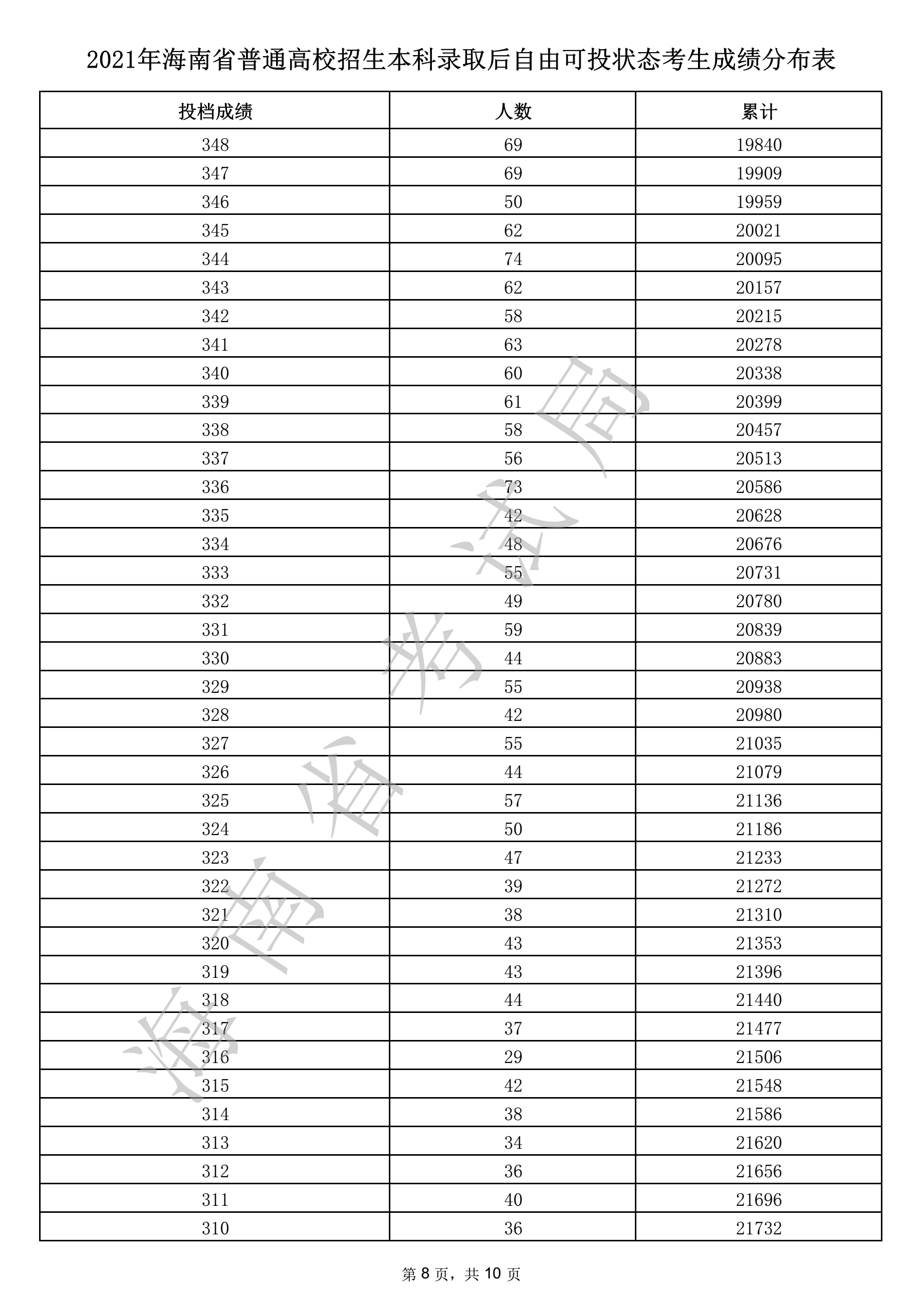
海南省2021年本科录取已经结束,海南省考试局发布了本科录取后自由可投状态的考生成绩分布表,可以帮助大家更好地填报专科志愿,下面是具体分布表,一起来看!











来源:高三网
能发现自己知识上的薄弱环节,在上课前补上这部分的知识,不使它成为听课时的“绊脚石”。这样,就会顺利理解新知识,相信通过2021年海南省本科录取后自由可投状态考生成绩分布表这篇文章能帮到你,在和好朋友分享的时候,也欢迎感兴趣小伙伴们一起来探讨。海南省2021年本科录取已经结束,海南省考试局发布了本科录取后自由可投状态的考生成绩分布表,可以帮助大家更好地填报专科志愿,下面是具体分布表,一起来看!











来源:高三网
能发现自己知识上的薄弱环节,在上课前补上这部分的知识,不使它成为听课时的“绊脚石”。这样,就会顺利理解新知识,相信通过2021年海南省本科录取后自由可投状态考生成绩分布表这篇文章能帮到你,在和好朋友分享的时候,也欢迎感兴趣小伙伴们一起来探讨。免责声明:本文由用户上传,如有侵权请联系删除!